
0: 乃木りんく 20xx/xx/xx(月) xx:xx:xx.xx ID:xxxxxxxxx
0: 乃木りんく 20xx/xx/xx(月) xx:xx:xx.xx ID:xxxxxxxxx
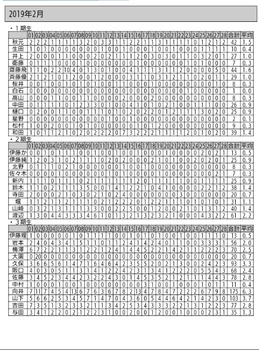
57: 乃木りんく 2019/03/03(日) 00:26:56.85 ID:Cwq4UliY0
66: 乃木りんく 2019/03/03(日) 00:27:51.54 ID:MvGfT6T70
>>57
(流石にみなみちゃん以下は)マズイですよ!
(流石にみなみちゃん以下は)マズイですよ!
68: 乃木りんく 2019/03/03(日) 00:28:18.87 ID:vEeb28KK0
>>57
葉月6.3ってすげーな
葉月6.3ってすげーな
69: 乃木りんく 2019/03/03(日) 00:28:53.53 ID:FL/9wRsB0
>>57
向井とかいうバケモノ
向井とかいうバケモノ
73: 乃木りんく 2019/03/03(日) 00:29:14.32 ID:+gHlfGMp0
>>57
ぞのっちなんやこれ
ぞのっちなんやこれ
75: 乃木りんく 2019/03/03(日) 00:29:28.00 ID:9xM12bzU0
>>57
珍しい・・・?
珍しい・・・?
93: 乃木りんく 2019/03/03(日) 00:31:31.79 ID:wUSe5v0O0
>>57
飛鳥10通って一体何があったんや
飛鳥10通って一体何があったんや
95: 乃木りんく 2019/03/03(日) 00:31:34.37 ID:twVgrjR10
>>57
一人おかしいのがいますね…
一人おかしいのがいますね…
97: 乃木りんく 2019/03/03(日) 00:31:51.65 ID:FDGL3MoId
>>57
葉月やばいな
書くことよう思い付くな
葉月やばいな
書くことよう思い付くな
103: 乃木りんく 2019/03/03(日) 00:32:19.53 ID:Th73dqBS0
>>57
アイドルやる気ありそうなりりあが少ないのが意外
アイドルやる気ありそうなりりあが少ないのが意外
107: 乃木りんく 2019/03/03(日) 00:32:46.52 ID:fHlJbvbLd
>>57
飛鳥って忙しいはずなのにモバメはしっかり送るよな
そういうとこすごいと思う
飛鳥って忙しいはずなのにモバメはしっかり送るよな
そういうとこすごいと思う
170: 乃木りんく 2019/03/03(日) 00:38:18.47 ID:sQ2L19a60
>>107
暇な日にドカッと送って数を稼ぐスタイルやけど、内容も悪くないし、飛鳥ちゃんのそういうとこはもっとリスペクトされてもいい
暇な日にドカッと送って数を稼ぐスタイルやけど、内容も悪くないし、飛鳥ちゃんのそういうとこはもっとリスペクトされてもいい
108: 乃木りんく 2019/03/03(日) 00:32:55.18 ID:hH6FYFCh0
>>57
怪物向井
怪物向井
117: 乃木りんく 2019/03/03(日) 00:33:46.57 ID:aSkJwNMZ0
>>57
これ握手対応の良さと比例してるやろ
これ握手対応の良さと比例してるやろ
122: 乃木りんく 2019/03/03(日) 00:34:28.22 ID:Ai9juOxN0
>>117
理々杏は握手対応いいらしいで
理々杏は握手対応いいらしいで
124: 乃木りんく 2019/03/03(日) 00:34:41.51 ID:hqGkbyOP0
>>57
こういう指標見るとあすかちゃんはアンダー漬けにした甲斐があったんだなって
こういう指標見るとあすかちゃんはアンダー漬けにした甲斐があったんだなって
128: 乃木りんく 2019/03/03(日) 00:34:49.47 ID:gObyz8Mta
>>57
まいやんと葉月のモバメ平均したら88通か
まいやんイケるやん
まいやんと葉月のモバメ平均したら88通か
まいやんイケるやん
138: 乃木りんく 2019/03/03(日) 00:35:41.31 ID:vEeb28KK0
>>128
最強のクリーンナップやな
最強のクリーンナップやな
141: 乃木りんく 2019/03/03(日) 00:35:55.05 ID:Vhd5VZX0M
>>57
一期でみなみ、松村取ってるけど、葉月美月の1日=みなみ、松村1ヶ月なんやな笑
でも、みなみちゃんのモバメ取ってる人数めちゃくちゃ多い気がする
一期でみなみ、松村取ってるけど、葉月美月の1日=みなみ、松村1ヶ月なんやな笑
でも、みなみちゃんのモバメ取ってる人数めちゃくちゃ多い気がする
153: 乃木りんく 2019/03/03(日) 00:36:39.47 ID:oqvKhEJFa
>>141
そもそも推してたら頻度に関わらずとるしな
そもそも推してたら頻度に関わらずとるしな
149: 乃木りんく 2019/03/03(日) 00:36:30.43 ID:gPkfNLi/0
>>57
美月もすげえわ
美月もすげえわ
155: 乃木りんく 2019/03/03(日) 00:36:46.51 ID:sQ2L19a60
>>57
桃子さん、まい姉さんをリスペクトし1日しか送らず、更に飛鳥ちゃんをリスペクトし、1日に二桁送るという2つを両立させる
しゅごぃぃぃぃ
桃子さん、まい姉さんをリスペクトし1日しか送らず、更に飛鳥ちゃんをリスペクトし、1日に二桁送るという2つを両立させる
しゅごぃぃぃぃ
引用元: http://2chspa.com/thread/livejupiter/1551540105
1001: 乃木りんく 20xx/xx/xx(月) xx:xx:xx.xx ID:xxxxxxxxx
1002: 乃木りんく 20xx/xx/xx(月) xx:xx:xx.xx ID:xxxxxxxxx


コメント
コメント一覧 (3)
写真集発売なのになんの営業努力もしないとは